Формирование и развитие универсальных учебных действий на уроках физики
Современное общество запрашивает в качестве выпускника школы человека гибкого, мобильного, готового к самостоятельной деятельности. В этой связи государственная политика в сфере образования выдвигает все новые требования к выпускникам школы. Обществу нужны образованные люди, умеющие контролировать свои действия, готовые самостоятельно принимать ответственные решения, инициативные, самостоятельные, способные к сотрудничеству.
Общественно-государственный заказ школе отражен в федеральных образовательных стандартах нового поколения. Современные задачи образования ориентированы на развитие личности, формирование у обучающихся таких качеств, которые в дальнейшей его жизнедеятельности позволят ему осуществлять постоянное самообразование, гибко реагировать на изменения, осваивать новые виды деятельности, и, как следствие, стать успешным.
Главной задачей современной системы образования является формирование универсальных учебных действий. УУД создают возможность самостоятельно осуществлять деятельность учения, ставить учебные цели, искать и использовать необходимые средства их достижения, уметь контролировать и оценивать учебную деятельность и ее результаты.
Универсальные учебные действия подразделяются на 4 группы: личностные, регулятивные, коммуникативные, познавательные.
1. Личностные действия обеспечивают ценностно-смысловую ориентацию учащихся (умение соотносить поступки и события с принятыми этическими принципами, знание моральных норм и умение выделить нравственный аспект поведения) и ориентацию в социальных ролях и межличностных отношениях.
2. Регулятивные действия обеспечивают организацию учащимся своей учебной деятельности. К ним относятся: целеполагание, планирование, прогнозирование, контроль в форме сличения способа действия и его результата, коррекция, оценка, волевая саморегуляция.
3. Коммуникативные действия обеспечивают социальную компетентность и сознательную ориентацию учащихся на позиции других людей (прежде всего, партнера по общению или деятельности), умение слушать и вступать в диалог, участвовать в коллективном обсуждении проблем, интегрироваться в группу сверстников и строить продуктивное взаимодействие и сотрудничество со сверстниками и взрослыми.
4. Познавательные действия включают общеучебные, логические действия, а также действия постановки и решения проблем.
Овладение универсальными учебными действиями, в конечном счете, ведет к формированию способности самостоятельно успешно усваивать новые знания, овладевать умениями и компетентностями, включая самостоятельную организацию процесса усвоения, т.е. умение учиться.
Таким образом, образовательные стандарты второго поколения предъявляют новые требования к системе обучения в образовательной школе. В связи с этим необходимы новые подходы к организации учебного процесса. И более актуальным становится использование в образовательном процессе приемов и методов, способствующих формированию умения самостоятельно добывать новые знания, собирать необходимую информацию, умение выдвигать гипотезы, делать выводы и умозаключения.
Конспект урока физики в 7 классе
«Давление в жидкости и газе. Расчет давления жидкости на дно и стенки сосуда»
Тип урока: урок формирования первоначальных предметных навыков с использованием проблемного исследования, овладения предметными умениями.
При работе применяются методы:
организация работы обучающихся в группах.
На уроке школьники обучаются следующим умениям:
– Определение проблемы;
– Поиск способов решения проблемы;
– Определение задач исследования;
– Обсуждение методов исследования;
– Анализ полученных данных;
– Оформление конечных результатов;
– Формулирование выводов.
Оборудование:
1. ПК, проектор, интерактивная доска.
2. Презентация к уроку для интерактивной доски.
3. Демонстрационное оборудование: прибор для демонстрации давления в жидкости.
4. Лабораторное оборудование: две прозрачные пластиковые бутылки разной ёмкости с отверстиями на одинаковой высоте; прозрачная пластиковая бутылка с отверстиями на разной высоте; две прозрачные пластиковые бутылки разной формы с отверстиями на одинаковой высоте; два одинаковых сосуда с отверстиями на одинаковой высоте, ёмкость правильной формы; ёмкости для вытекающей жидкости; губка; вода; масло (все лабораторные приборы изготовлены самостоятельно).
Цель: Вызвать объективную необходимость изучения нового учебного материала «Давление жидкости», используя проблемное обучение, элементы исследовательской деятельности, технологии «Сотрудничество».
Задачи урока:
экспериментально установить, от чего зависит давление в жидкости, продолжить формирование умений пользоваться приборами, анализировать, сравнивать результаты опытов;
развивать универсальные учебные действия:
личностные: осознание цели обучения и значимости учения, умение вести диалог на основе равноправных отношений и взаимного уважения и принятия, формирование устойчивого познавательного интереса;
регулятивные: умение планировать, ставить цель каждого этапа, контролировать свои действия, оценивать свою работу, анализировать, самостоятельно контролировать свое время и управлять им, адекватно самостоятельно оценивать правильность выполнения действий и вносить необходимые коррективы;
познавательные: сравнивать, строить цепь рассуждений, выдвигать гипотезы, делать речевые высказывания, готовить отчеты, проводить эксперимент под руководством учителя, осуществлять расширенный поиск информации с использованием ресурсов библиотек и Интернета.
коммуникативные: умение работать в группе, распределять обязанности в группе, согласовать действия с партнерами, осуществлять взаимный контроль и оказывать в сотрудничестве необходимую взаимопомощь, осуществлять коммуникативную рефлексию, умение вступать в диалог, участвовать в коллективном обсуждении, владеть монологической речью.
Ход урока
I. Организационный момент.
II. Мотивация учебной деятельности.
III. Фронтальная работа учащихся (выполнение задания на интерактивной доске).
IV. Создание проблемной ситуации.
V. Экспериментальная работа учащихся (мини-проекты по группам).
VI. Обобщение выводов каждой группы.
VII. Физкультминутка.
VIII. Вывод формулы давления в жидкости.
IX. Решение задач.
X. Домашнее задание.
XI. Рефлексия. Оценивание.
I. Оргмомент (записать дату) (Слайд1-эпиграф)
(Слайд 2)
Тому в жизни все удается,
Кто улыбается и смеется
На того дождик удачи льется
Кто улыбается и смеется.
Подарите друг другу улыбку,
а я вам подарю капельку удачи. (Слайд 3)
Разотрите эту капельку в ладошках прикоснитесь друг к другу и пожелайте удачи.
II. Мотивация учебной деятельности.
Учащимся предлагаю разгадать кроссворд. (Слайд 4)
На предыдущих уроках мы с вами говорили о давлении. Давайте вспомним:
Что в физике называют давлением?
Запишите формулу давления?
Единица измерения давления в системе СИ.
Назовите способы уменьшения давления?
Назовите способы увеличения давления?
Создают ли давление газы, если да, то укажите причину?
Назовите особенности передачи давления твердыми телами.
Как передают давление жидкости и газы? Сформулируйте закон Паскаля.
Выполнить перевод единиц измерения. (Взаимопроверка) (Слайд 5)
III. Фронтальная работа учащихся (Слайд 6)
Показать на рисунке передачу давления твердыми телами, жидкостями и газами в разных случаях.

IV. Создание проблемной ситуации.
Твердое тело может передавать давление другого тела, оказываемое на него или само оказывать давление на опору в результате притяжения к Земле. Газ также способен передавать оказываемое на него давление или сам оказывать давление на стенки сосуда в результате соударения молекул совершающих тепловое движение. А способна ли жидкость оказывать давление?
На жидкости, как и на все тела на Земле, действует сила тяжести. Поэтому каждый слой жидкости, своим весом создает давление на нижние слои, которое по закону Паскаля передается во всех направлениях одинаково.
Проведем несколько экспериментов, доказывающих существование давления в жидкости и газе. http://school-collection.edu.ru/
Опыт с прибором по наблюдению давления в жидкости.
Учащиеся формулируют вывод и записывают его в тетрадь. (стр.114 учебника)
Вывод: Внутри жидкости существует давление и на одном и том же уровне оно одинаково по всем направлениям. С глубиной давление увеличивается.
Нужно ли знать людям, чему равно давление жидкости на разных глубинах? Ребята как выдумаете, о чем мы будем говорить сегодня на уроке? Учащиеся формулируют тему урока.
Тема нашего урока «Расчет давления жидкости на дно и стенки сосуда» (Слайд 8)
Что бы вы хотели узнать по этой теме? (от чего зависит давление и какая формула для вычисления давления) (Слайд 9)
Как вы думаете, от чего может зависеть давление на дно и стенки сосуда?
Попытаемся выяснить, от чего зависит давление жидкости на дно и стенки сосуда. Для этого проведем небольшое исследование. Провожу инструктаж по ТБ.
V. Экспериментальная работа обучающихся (мини-проекты по группам). (Слайд 10)
1 группа
Задача: экспериментально установить зависимость давления жидкости от размеров сосуда, если уровень жидкости одинаков.

2 группа
Задача: экспериментально установить, зависит ли давление жидкости от высоты столба жидкости в сосуде.

3 группа
Задача: экспериментально установить, зависит ли давление жидкости от плотности жидкости, если уровень жидкости одинаков.
4 группа
Задача: экспериментально установить, зависит ли давление жидкости от формы сосуда, если уровень жидкости одинаков.

5 группа
Задача: рассчитать какое давление оказывает жидкость на дно сосуда в форме параллелепипеда (по инструкции)
VI. Представитель каждой группы отчитывается по полученным результатам эксперимента и формулирует вывод (на доске заполняется таблица).
|
Давление внутри жидкости |
|
|
Зависит от: |
Не зависит от: |
|
1) |
1) |
|
2) |
2) |
Вывод 1: Дальность вытекания воды от размеров сосудов не зависит, а значить и давление тоже не зависит от размеров сосудов.
Вывод 2: Дальность вытекания воды зависит от высоты столба жидкости, а значить и давление тоже зависит от высоты столба жидкости.
Вывод 3: Дальность вытекания воды зависит от плотности жидкости, а значить и давление тоже зависит от плотности жидкости.
Вывод 4: Дальность вытекания воды от формы сосуда не зависит, а значить и давление тоже не зависит от формы сосуда.
Вывод 5: Глубина продавливания губки зависит от уровня жидкости, а значить и давление, оказываемое на дно сосуда разное.
(Слайд11)
|
Давление внутри жидкости |
|
|
Зависит от: |
Не зависит от: |
|
1) плотности жидкости |
1) размеров сосуда |
|
2) высоты столба жидкости |
2) формы сосуда |
Рассмотренная нами зависимость давления жидкости, справедлива и для газов. Но тат как газ имеет значительно меньшую плотность, чем жидкость то давление газа проявляется, только если его значительное количество. Например: давление атмосферы Земли.
VII. Физкультминутка. (Слайд 12)
Пятая группа вычислила давление на дно сосуда. Чему оно равно? Много было вычислений? А можно ли рассчитать давление жидкости быстрее и значить проще?
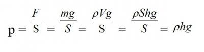
VIII. Выведем формулу давления жидкости на дно и стенки сосуда:
IX. Решение задач (Слайд 13,14)
1. Решение качественных задач.

2. Упр.17 (1) (1 ряд – вода, 2 ряд – керосин, 3 ряд – ртуть).
3. Какое давление оказывает молоко массой 220 г на дно стакана, высота молока в стакане равна 10 см? Чему равна сила давления на дно, если площадь дна равна 20 см2?
X. Домашнее задание: §39,40 упр. 17 (2); задание 2 к §40 (по желанию) (Слайд 15)
XI. Рефлексия. (Слайд 16,17)
Выставление оценок за урок! (Слайд 18)
Если останется время показать эпизод видеоролика «Гидростатический парадокс».
Литература:
1.Стандарты второго поколения «Примерная основная образовательная программа образовательного учреждения» Основная школа. М.: Просвещение, 2011.
| Количество просмотров: 20937 |


Комментарии
Ольга Костина опубликовано
Страницы
Добавить комментарий